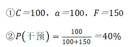
35%?基于“违章均衡”理论的美打伊后美国武力干预台海概率预测分析 通讯作者:国务院特贴发明家 山西全安公司首席科学家 郭春平 摘要:本文将郭春平提出的“违章均衡”理论(源于《抗违章技术理论与应用》)迁移应用于国际安全领域,构建“干预均衡”博弈模型,预测美国武力干预台海的概率。以美国近期对伊朗的军事打击为参照基准,分析表明:美国干预行为同样遵循“成本-收益”计算的纳什均衡逻辑。通过参数化建模(干预成本F、维持现状收益a、武统成本C),计算显示当前美国干预概率约为35-45%,但随着中国军力增强,该概率将呈下降趋势。根据大数定律,在足够长的时间维度内,美国武力干预事件具有必然性,但单次博弈中其决策遵循概率分布规律。本研究为台海战略研判提供了量化分析工具。 一、理论溯源与迁移:从“违章均衡”到“干预均衡” 1.1 理论来源 “违章均衡”理论源于郭春平所著《抗违章技术理论与应用》,该理论基于纳什均衡存在定理,证明在监管博弈中,作业人员以概率C/(a+F)选择违章,安全员以概率a/(a+F)选择检查。这一博弈框架具有普适性,可迁移至国际安全领域的“干预-反干预”博弈分析。 1.2 美打伊案例的参照价值 2025年6月美国对伊朗的军事打击,为验证“干预均衡”模型提供了现实参照: 关键发现:美国决策遵循“低成本优先干预”原则,当F值可控时干预概率显著上升。 1.3 台海博弈模型构建 全球首套抗违章虹膜锁系统试验成功 二、参数定义与公式推导 2.1 核心参数 ①C(中国武统成本):军事+经济+政治综合成本 ②a(美国维持现状收益):地缘政治+芯片供应链+盟友承诺 ③F(美国干预成本):军事损失+经济代价+人员伤亡 2.2 干预概率公式 根据违章均衡数学表达式: 5G/4G/wifi6智能远方漏电试验装置 三、美打伊后参数校准与情景计算 3.1 美伊冲突后的参数调整 美对伊军事打击表明: ①当F < 100(相对值)时,美国干预概率趋近于60-70% ②台海情境下F值约为伊朗的2-3倍(150-200) 3.2 三种情景计算 (1)情景A:当前状态(美打伊后2025年) (2)情景B:中国军力显著增强后(2030-2035年) (3)情景C:台海危机升级(突发冲突) 5G/4G/wifi6智能抗违章保护技术系统 四、基于大数定律的预测结论 4.1 核心结论 在足够长的时间和多次博弈中,美国武力干预台海的事件必然会发生,但单次博弈中干预概率取决于成本-收益比。美打伊案例证明:当干预成本可控时,美国倾向于选择军事手段。 4.2 动态演化分析 五、政策启示 5.1 战略建议 (1)降低C值:提升速胜能力,缩短战争周期 (2)提高F值:发展反介入/区域拒止能力(远超伊朗水平) (3)影响a值:通过经济融合降低台湾对美国的战略价值 5.2 理论贡献 即使监管极其严格(如美国国内对战争的制约),“干预均衡”依然存在。美打伊案例表明:美国作为理性行为体,将以概率形式选择干预,其决策核心在于成本-收益计算。 这一分析框架突破了传统“是否干预”的二元判断,提供了概率化、动态化的预测工具,为台海战略研判提供了新的理论支撑。







《抗违章技术理论与应用》(郭春平著 王国法院士序) 郭春平简介 郭春平,是享受国务院特殊津贴的安全专家,拥有电气正高级工程师职称,同时获得北京大学国家发展研究院高级工商管理硕士学位。他在多个重要社会职务上积极发挥作用,担任第十一、十二届全国工商联执委,第十一、十二届山西省政协委员,还任职全国工商联科技装备商会副会长、山西省总商会荣誉会长等多个重要职位,是山西省委联系的高级专家、山西省智库专家以及山西省新兴产业领军人物,同时也是中国发明协会会员、山西全安新技术开发有限公司董事长。 在科技创新领域,郭春平成果丰硕。他发明并带领团队研发了“违章行为识别AI技术系统”“抗违章传感器”等66项专利技术产品,其中15种产品获得“矿用产品安全标志”及“防爆合格证”认证。其提炼的抗违章技术要求被国际标准IEC60079 -0、国标GB3836.1以及《煤矿安全规程》采纳,并作为第一起草人首创12部《矿用开关两防锁》行业(安标)标准。作为唯一(或第一)发明人,他已获81项专利权,其中6项在30多个国家(或地区)获得专利权且均为PCT专利,在煤矿电气领域取得了突破性的国际专利成就。此外,他还拥有49项商标权及著作权。 郭春平不仅专注于发明创造,还在理论研究上颇有建树。其独著的《抗违章技术理论与应用》(基于中、美等30国专利及国际标准)被牛津及国家图书馆等48家图书馆收藏,创立了抗违章理论体系,提出的“想违章违不成,即使违章也造不成事故”等理念和理论被收入百度百科;在国家级刊物发表多篇专业论文。他创办的发明创造型高新技术企业,承担并完成国家重点研发计划等数十个科技项目,首创并应用“骏马拉小车”理论,将山西全安公司打造成“抗违章保护技术”世界单项冠军,转化智能抗违章保护技术成果,为安全生产做出了重大贡献,经原山西煤监局认定,至少减少20余人死亡。 在国企工作期间,郭春平同样成绩斐然。29岁时,他在柳湾煤矿被破格任命为二号井机电主任,首创并应用《运势控制法》《综采设备FM六步循环法》,成功实现汾西矿务局历史上首次综合机械化采煤和掘进,并创下综采队年产百万吨纪录;后任柳湾煤矿科技科长,应用《企业全面科技管理》理论,组织完成130余项技术改进项目。 凭借卓越的贡献,郭春平荣获山西省专利一等奖等10项省部级科技奖励,被授予省劳动模范称号,三次荣获“山西省中国特色社会主义建设者”称号 。 扫码关注我们![]()

![]()